当前位置:首页>
产品参数
>
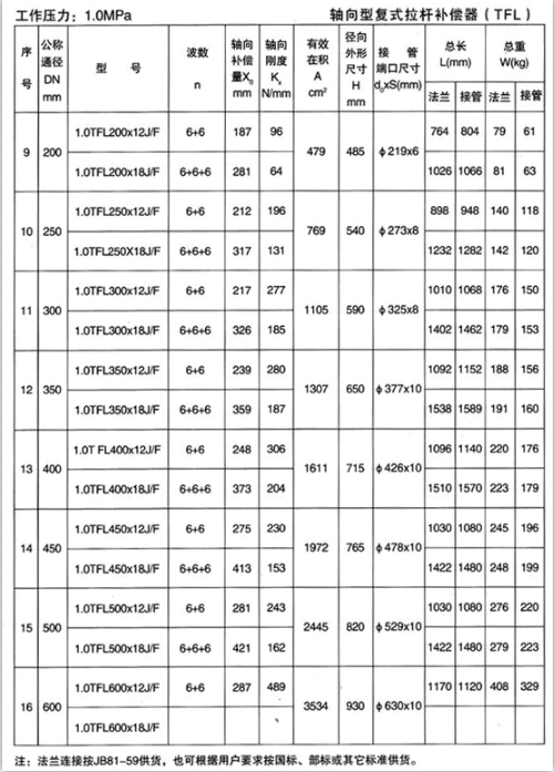
轴向型复式拉杆补偿器(TFL)产品参数三
轴向型复式拉杆补偿器(TFL)产品参数三