当前位置:首页>
产品参数
>
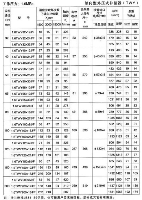
轴向型外压式补偿器(TWY)产品参数五
轴向型外压式补偿器(TWY)产品参数五