当前位置:首页>
产品参数
>
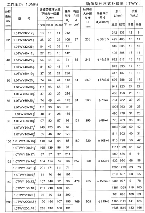
轴向型内压式波纹补偿器(TNY)产品参数三
轴向型内压式波纹补偿器(TNY)产品参数三